本文开发了加热丝辅助加热温差基线实验方案,显著降低了温差基线校准的实验耗时,提高了测试效率,同时通过校准验证证明了优化方案的有效性。
要点回顾
电池绝热量热仪是测试锂电池绝热热失控特性的主要仪器,为获得最准确和有效的测试数据,完整的测试流程包括样品准备、温差基线校准、校准验证和电池测试四个步骤。其中温差基线校准能够确保仪器的绝热性能,是提高仪器检测灵敏度和准确性的重要操作步骤。
正常使用情况下,温度基线校准每两个月进行一次即可,重复进行校准的必要性主要体现在以下两个方面:
1、测温热电偶长期受到高温冲击会逐渐出现温度漂移;
2、尺寸差异过大的样品在量热腔内部所处的温度场明显变化。
另外,若出现温度传感器或保温棉等零配件更换的情况,同样需要重新进行温差基线校准实验。
校准实验所需时长与样品质量相关。280Ah磷酸铁锂电芯等大型电芯所需时间较长,可能达到3-5天甚至1周以上,极大拖延了实验进度。基于上述问题,本文提出加热丝辅助加热的温差基线实验方案,在样品表面缠绕加热丝,并利用加热丝加热缩短样品升温时间,能够大幅降低温差基线实验时长,显著提升实验效率。
实验部分
1.样品准备
本文按照两种典型电芯样品的尺寸加工实验所需的标准铝块样品。#1铝块:204*173*53mm,5625g;#2铝块:274*104*12mm,924g。
图1 选择的典型电芯样品
2.实验过程
(3)校准文件验证:选择“HWS”模式,进行铝块HWS台阶升温实验,计算每个台阶样品温升速率,验证校准文件的有效性。
图2 制样/装样示意图与实物照片
实验结果
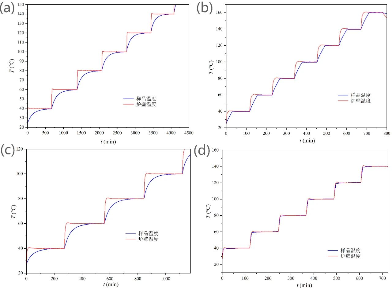
如图3所示,对比两种温差基线实验得到的温升曲线,可以发现常规实验模式下样品在量热腔内通过对流、传导等方式升温较慢,升温阶段占用了大部分实验时间。而通过加热丝辅助加热的方式能够强制提高样品温升速率。
图3 #1(a,b)和#2(c,d)样品常规温差基线(a,c)和加热丝辅助加热温差基线(b,d)实验温升曲线对比
根据表1,优化后1号和2号样品温升曲线的单台阶时间仅为优化前的15.8%和41.4%,对于大质量的样品提升效果尤为显著。在优化后,两个样品的单台阶时长均为110min~120min,而一般温差基线实验需要跑6~10个台阶,因此大部分样品均可在1天内完成实验,大幅提高了温差基线实验的效率。
随后,利用HWS模式验证加热丝辅助加热方案得到的校准文件的有效性。如图4所示,HWS温升曲线各温度台阶的温升速率均处于-0.005~0.005℃/min的有效范围内,校准后仪器的绝热性能良好,证明本优化方案在提高实验效率的同时未损失校准精度。
图4 #1(a,b)和#2(c,d)样品加热丝辅助加热温差基线校准结果验证
结论
加热丝辅助加热的温差基线实验方案能够大幅提高实验效率,尤其对于大质量样品的优化效果尤为显著,可降低用户进行校准的时间成本和顾虑。

